Triolight – liniLED Top 2200K-3500K Tunable Warm White 1200
Posted by Marcel van der Steen in Light measurements No Comments»Here an LED strip from
Triolight B.V.. The measurements from OliNo show that the lamp emits a warm white light with a color temperature of 2760 K. The lamp consumes 12.4 W and has a luminous flux of 982 lm. This results in an efficacy of 79 lm/W. The lamps energy category label is A.
This article shows the measurement results. Many parameters are also found in the Eulumdat file.
See this overview for a comparison with other light bulbs.
Summary measurement data dated 2019-12-08
| parameter | meas. result | remark |
|---|---|---|
| Color temperature | 2760 K | warm white |
| Luminous intensity Iv | 427.3 Cd | Measured straight underneath the lamp. |
| Illuminance modulation index | 0 % | Measured with a light sensor looking at the lamp (angle not defined). Is a measure for the amount of flickering. |
| Beam angle | 108 deg | 90 deg is the beam angle for the C0-C180-plane (perpendicular to the length direction of the lamp) and 108 deg is the beam angle for the C90-C270 plane, which is along the length direction of the lamp. |
| Power P | 12.4 W | The net power consumed. |
| Power Factor | 1.00 | The tests were done with a DC power supply. This results in no blind power and as a result the power factor is always 1.0 but not relevant to mention. |
| THD | NaN % | Total Harmonic Distortion, is not present as a DC voltage was used to power the lamp so a DC current resulted which has no THD. |
| Luminous flux | 982 lm | Measured with photogoniometer, calculation done as described in LM79-08. |
| Luminous efficacy | 79 lm/W | This efficiency is for the LED / lamp only and is without any power supply that must convert the 230 V to DC current. |
| EU2013-label classification | A | The energy class, from A++ (more efficient) to E (least efficient). This label is an update of the previous version, and compulsory from Sept 2013. |
| CRI_Ra | 84 | Color Rendering Index. |
| Rf_TM30 | 84 | TM30-15 is an improved indicator (over CRI) of how well colors are rendered. |
| Rg_TM30 | 98 | Gamut Area Ratio. |
| Coordinates chromaticity diagram | x=0.4508 en y=0.4017 | |
| Fitting | 24V DC | |
| PAR-photon current | 9.3 uMol/s | The number of photons seen by an average plant when it is lit by the light of this light bulb (weighted cf DIN-norm 5031-10:2000) |
| PAR-photon efficacy | 0.8 uMol/s/We | The total emitted number of photons by this light, divided by its consumption in W. It indicates a kind of efficacy in generating photons. |
| Photon current | 15.1 uMol/s | The total number of photons in the light of this lamp (over 350-750nm). |
| Luminous flux for chicken | 1630 cLm | Total radiant flux adjusted by color sensitivity curve (from 350 – 780 nm) of chickens (Gallus domesticus). |
| S/P ratio | 1.3 | This factor indicates the amount of times more efficient the light of this light bulb is perceived under scotopic circumstances (low environmental light level). |
| L x W x H external dimensions | 975 mm x 12 mm x 6 mm | External dimensions of the lamp. |
| L x W luminous area | 975 mm x 12 mm | Dimensions of the luminous area (used in Eulumdat file). It is the surface of the smallest rectangle around all LEDs. |
| General remarks | The ambient temperature during the whole set of illuminance measurements was 24.6 – 26.1 deg C.
The temperature of the lamp gets maximally about 13.5 degrees hotter than ambient temperature. Warm up effect: During the warmup time the illuminance varies during 5 minutes and decreases with 7 %. Voltage dependency: There is no (significant) dependency of the illuminance when the power voltage varies between 22 – 26 V . |
|
| Eff-variation | -2 % | This is the variation in efficacy (calculated as indication by simply dividing the illuminance by the power) during the warming up. A very high negative value indicates a significant decrease for instance due to heating up of the lamp (decrease of lifetime). |
| Dimmable | no/not known | Info from manufacturer. |
Melanopic effect factor |
0.393 | According to norm DIN SPEC 5031-100:2015-08. |
| Melanopic Ratio | 0.32 | This ratio multiplied with the lux value gives the EML-value (Equivalent Melanopic Value), used in table L2 of WELL std 2019-Q3. |
| Blue Light Hazard risk group | 0 | 0=exempt, 1=low, 2 = moderate, 3=high risk. Indication value only for straight underneath the lamp. |
| form factor | strip | |
| article number | 12468 | |
| Eulumdat file | ![]() |
Right click on icon and save the file. |
| IES file | ![]() |
Right click on icon and save the file. |
Overview table
Please note that this overview table makes use of calculations, use this data with care as explained on the OliNo site.
EU 2013 Energy label classification
Since Sept 2013 these labels will be needed.
Important for the energy classification are the corrected rated power and the useful luminous flux.
The measured rated power is 12.4 W and might need to be corrected. The correction is dependent from the lamp type and whether or not the lamp control gear is included or not. The choice for this lamp is the following classification: Lamps operating on external LED lamp control gear. As a result the corrected rated power becomes: 13.6 W.
The luminous flux measured is 982 lm. The classification of this lamp needed to determine the useful flux is: Directional lamps with a beam angle >= 90° other than filament lamps and carrying a textual or graphical warning on their packaging that they are not suitable for accent lighting. Then the useful flux becomes 853 lm. Now a reference power can be calculated.
The energy efficiency coefficient is P_corr / P_ref = 0.20.
EU energy label for this lamp
Zip file with 6 EU energy labels of this lamp
The lamp’s performance in the lumen-Watt field, with the energy efficacy fields indicated.
Eulumdat light diagram
This light diagram below comes from the program Qlumedit, that extracts these diagrams from an Eulumdat file.
The light diagram giving the radiation pattern.
The light diagram indicates the beam in the C0-C180 plane (perpendicular to the length direction of the lamp) and in the plane perpendicular to that, the C90-C270 plane (along the length direction of the lamp).
When using the Ev or Iv values per inclination angle, the beam angle can be computed, being 90 deg for the C0-C180 plane and 108 deg for the C90-C270 plane.
Image of the light distribution pattern in 3D.
Intensity data of every measured turn angle at each inclination angle.
This plot shows per inclination angle the intensity measurement results for each turn angle at that inclination angle. There normally are differences in illuminance values for different turn angles. However for further calculations the averaged values will be used.
Luminous flux
With the averaged illuminance data at 1 m distance, taken from the graph showing the averaged radiation pattern, it is possible to compute the luminous flux.
The result of this computation for this light spot is a luminous flux of 982 lm.
Luminous efficacy
The luminous flux being 982 lm, and the consumed power of the lamp being 12.4 Watt, results in a luminous efficacy of 79 lm/Watt.
Electrical properties
The power factor is 1.00. The tests were done with a DC power supply. This results in no blind power and as a result the power factor is always 1.0 but not relevant to mention.
| Lamp voltage | 23.99 V |
| Lamp current | 0.515 A |
| Power P | 12.4 W |
| Apparent power S | 12.4 VA |
| Power factor | 1.00 |
Temperature measurements lamp
Temperature image(s).
| status lamp | > 2 hours on |
| ambient temperature | 25 deg C |
| reflected background temperature | 25 deg C |
| camera | Flir T335 |
| emissivity | 0.95 |
| measurement distance | 0.6 m |
| IFOVgeometric | 0.136 mm per 0.1 m distance |
| NETD (thermal sensitivity) | 50 mK |
Color temperature and Spectral power distribution
The spectral power distribution of this light bulb, energies on y-axis valid at 1 m distance.
The measured color temperature is 2760 K which is warm white.
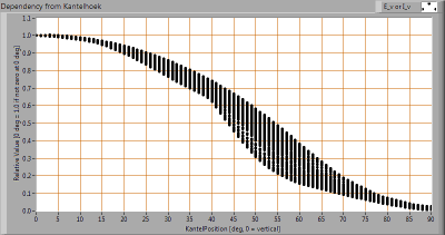
This color temperature is measured straight underneath the light bulb. Below a graph showing the color temperature for different inclination angles.
Color temperature as a function of inclination angle.
The color temperature is given for inclination angles up to 70 deg. Beyond that value the illuminance is lower than 10%% of Ev straight underneath the lamp, that it has not been used for color determination of the light.
For the C0-C180 plane: the beam angle of 90 deg is equivalent to 45.0 deg inclination angle,which is the area where most of the light falls within. The maximum variation of color temperature in this inclination area is about 2 %.
For the C90-C270 plane: the beam angle of 108 deg is equivalent to 54.2 deg inclination angle,which is the area where most of the light falls within. The maximum variation of color temperature in this inclination area is about 4 %.
Color point dependent on inclination angle related to 2, 4 and 6 step MacAdam ellipse, for all angles within the beam angle (solid line) and for all angles where Ev dropped to 10 % value (dotted line)
PAR value and PAR spectrum
To make a statement how well the light of this light bulb is for growing plants, the PAR-area needs to be determined.
The photon spectrum, then the sensitivity curve and as result the final PAR spectrum of the light of this light bulb
| parameter | value | unit |
|---|---|---|
| PAR photon current | 9.3 | uMol/s |
| PAR photon efficacy | 0.8 | uMol/s/W |
| photon current (350-750 nm) | 15.1 | uMol/s |
The PAR efficiency is 64 % (valid for the PAR wave length range of 400 – 700 nm). This is the maximum percentage of the total of photons in the light that is effectively used by the average plant (since the plant might not take 100 % of the photons at the frequency where its relative sensitivity is 100 %).
Luminous flux for chicken
The energy in the spectrum of the light of the lamp can be evaluated by the spectral sensitivity of the eye of chicken (N.B. Prescott and C.M. Wathes, 1999 and J. E. Saunders, J. R. Jarvis and C. M. Wathes, 2008).
The spectrum of the light, multiplied by the spectral sensitivity of the human eye and the eye of a chicken.
| parameter [unit] | value | explanation |
|---|---|---|
| Luminous flux [lm] | 982 | The light of the lamp evaluated for a human eye. |
| Luminous flux chicken [cLm] | 1630 | The light of the lamp evaluated for the eye of a chicken. |
| Factor from lux to cLux | 1.66 | With this factor, the lux value of this light can be converted to the cLux value. |
S/P ratio
The power spectrum, sensitivity curves and resulting scotopic and photopic spectra (spectra energy content defined at 1 m distance).
The S/P ratio of the light coming from this lamp is 1.3.
Chromaticity diagram
The chromaticity space and the position of the lamp’s color coordinates in it.
The point of the light in this diagram is inside the area indicated with class B. The areas A and B indicate areas for signal lamps.
The color coordinates are x=0.4508 and y=0.4017.
Color Rendering Index (CRI) or also Ra
Herewith the image showing the CRI as well as how well different colors are represented (rendered). The higher the number, the better the resemblance with the color when a black body radiator would have been used (the sun, or an incandescent lamp)
Each color has an index Rx, and the first 8 indexes (R1 .. R8) are averaged to compute the Ra which is equivalent to the CRI.
CRI of the light of this lightbulb.
This value of 84 indicates how well the light of this lamp can render well a set of reference colors, this in comparison with the light of a reference source (for color temperatures < 5000K a black radiator is used as reference and for color temperatures > 5000K the sun or the light outside during the day).
The value of 84 is bigger than the value of 80 that is considered as a minimum for working areas in general.
Note: the chromaticity difference is -0.0025 and indicates the distance to the Planckian Locus. There is a value mentioned of max 5.4E-3 in section 5.3 of CIE 13.3-1995 however no further explanation of it.
An other reference with signal lights as a reference is given in the chromaticity diagram.
Color quality scale TM-30-15
TM-30-15 is an improved indicator (over CRI) of how well colors are rendered.
TM30-15 Rf = 84, Rg = 98.
TM-30-15-values for 99 samples for the light of this light bulb. The closer the value for a testcolor comes to 100, the more its rendition resembles that of a reference lightsource.
Graphical view of averaged color points for this light bulb compared to a reference source with the same color temperature.
Voltage dependency
The dependency of a number of lamp parameters on the lamp voltage is determined. For this, the lamp voltage has been varied and its effect on the following light bulb parameters measured: illuminance E_v [lx], the lamppower P [W] and the luminous efficacy [lm/W] (this latter is estimated here by dividing the found E_v value by P).
Lamp voltage dependencies of certain light bulb parameters
There is no (significant) dependency of the illuminance when the power voltage varies between 22 – 26 V .
There is a constant dependency of the consumed power when the power voltage varies between 22 – 26 V .
When the voltage varies abruptly with + or – 0.5 V then this results in a variation of the illuminance of maximally 0.1 %. This difference in illuminance is not visible (when it occurs abruptly).
Warm up effects
After switch on of a cold lamp, the effect of heating up of the lamp is measured on illuminance E_v [lx], the lamppower P [W] and the luminous efficacy [lm/W].
Effect of warming up on different light bulb parameters. In the first graph the 100 % level is put at begin, and in the last graph the 100 % level is put at the end.
During the warmup time the illuminance varies during 5 minutes and decreases with 7 %.
During the warmup time the power varies during 5 minutes and decreases with 6 %.
The variation in efficacy (calculated as indication by simply dividing the illuminance by the power) during the warming up is -2 %. A very high negative value indicates a significant decrease for instance due to heating up of the lamp (decrease of lifetime).
Measure of flickering
An analysis is done on the measure of flickering of the light output by this light bulb.
The measure of fast illuminance variation of the light of the light bulb
| parameter | value | unit |
|---|---|---|
| Flicker frequency | 58.4 | Hz |
| Illuminance modulation index | 0 | % |
| Flicker index | 0.001 | [-] |
| Compact Flicker Degree | 2 | % |
Imperceptible.
The illuminance modulation index is computed as: (max_Ev – min_Ev) / (max_Ev + min_Ev).
Melanopic effect
The melanopic effect shows the level of impact the light of this lamp can have on the day-night rhythm of human beings (as well as the suppression of melatonin production).
The important parameters (according to norm DIN SPEC 5031-100:2015-08):
| melanopic effect factor | 0.393 |
| kmel trans (25 years) | 1.043 |
| kmel trans (32 years) | 1.000 |
| kmel trans (50 years) | 0.859 |
| kmel trans(75 years) | 0.639 |
| kmel trans(90 years) | 0.517 |
| kpupil(25 years) | 1.088 |
| kpupil(32 years) | 1.000 |
| kpupil(50 years) | 0.792 |
| kpupil(75 years) | 0.543 |
| kpupil(90 years) | 0.416 |
Circadian Stimulus (CS)
The circadian stimulus indicates the degree of influence that the light of this lamp has on the human circadian rhythm. In addition to the melanopic effect of Ganglion cells, the contributions of S-cones and rods are also included. A CS value of 0.1 has hardly any effect and a value > 0.3 has an effect (0.7 is the maximum, saturated, value). The CS value depends on the spectrum of the light and also on the amount of it (received on the eye).
| Ev [lux] | CL_A | CS |
|---|---|---|
| 20.0 | 17.7 | 0.02 |
| 30.0 | 26.5 | 0.04 |
| 50.0 | 44.2 | 0.06 |
| 75.0 | 66.3 | 0.09 |
| 100.0 | 88.4 | 0.12 |
| 150.0 | 132.6 | 0.18 |
| 300.0 | 265.1 | 0.29 |
| 500.0 | 441.9 | 0.39 |
| 750.0 | 662.8 | 0.47 |
| 1000.0 | 883.7 | 0.51 |
| 1500.0 | 1325.6 | 0.57 |
| 2000.0 | 1767.5 | 0.60 |
Blue Light Hazard
The amount of blue light and the harm it can cause on the retina has been determined. Herewith the results.
The level of blue light of this lamp related to the exposure limit and the different classification areas.
| L_lum0 [mm] | 12 | Dimension of brightest part of lamp in C0-C180 direction. |
| L_lum90 [mm] | 975 | Dimension of brightest part of lamp in C90-C270 direction. |
| SSD_500lx [mm] | 929 | Calculated distance where Ev = 500 lux. This computation is valid when it is in the far field of the lamp. Note: if this value 200 mm then the distance of 200 mm is taken as proposed in the norm IEC 62471:2006. |
| Start of far field [mm] | 4875 | Minimum distance at which the lamp can be seen as a point source. In this area the Ev is linearly dependent from (1/distance)2. |
| 300-350 nm values stuffed with 0s | yes | In the event OliNo has measured with a SpB1211 spectrometer without UV option then the irradiance data of 300-349 nm is missing. For lamps where there is already no energy content near 350 nm, the values 300-349 can also be set at zero then. |
| alphaC0-C180 [rad] | 0.100 | (Apparent) source angle in C0-C180 direction. |
| alphaC90-C270 [rad] | 0.100 | (Apparent) source angle in C90-C270 direction. |
| alphaAVG [rad] | 0.100 | Average (apparent) source angle. If average >= 0.011 rad then the exposure limit is computed with radiance Lb. Otherwise with irradiance Eb. |
| Exposure value [W/m^2/sr] | 1.94E+0 | Blue Light Hazard value for this lamp, measured straight underneath the lamp. Computation is referenced to Lb. Because the distance at 500 lux is in the near field, then this exposure value is too pessimistic and should be lower. |
| Blue Light Hazard risk group | 0 | 0=exempt, 1=low, 2 = moderate, 3=high risk. |




























